网站首页
新闻通知
释疑解难
例题增补
习题选解
综合练习
课程预习
竞赛考研
数学杂谈
关于网站
网站首页
>
习题选解
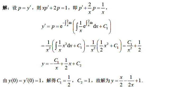
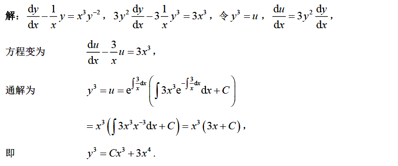
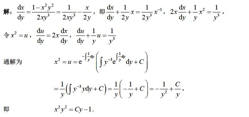
微分方程测验卷
作者: 时间:2025-11-28 点击数:
上一篇:
常系数非齐次线性方程
下一篇:
定积分的概念与性质
同济大学数学科学学院 版权所有