网站首页
新闻通知
释疑解难
例题增补
习题选解
综合练习
课程预习
竞赛考研
数学杂谈
关于网站
网站首页
>
习题选解
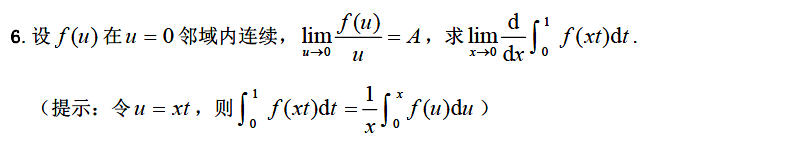
定积分的换元法
作者: 时间:2025-11-28 点击数:
上一篇:
微积分基本公式
下一篇:
定积分的分部积分法
同济大学数学科学学院 版权所有