网站首页
新闻通知
释疑解难
例题增补
习题选解
综合练习
课程预习
竞赛考研
数学杂谈
关于网站
网站首页
>
释疑解难
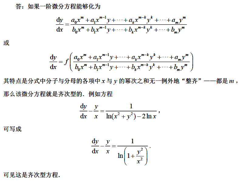
可分离变量的微分方程与齐次方程
作者: 时间:2024-08-31 点击数:
同济大学数学科学学院 版权所有